Lesson 5 - Valuation of Bonds

The lecture shows how to calculate the value of bonds. Corporations may issue bonds to expand operations or can buy or sell bonds as investments. This lecture covers the bond types and how to choose the highest yielding bond.

Overview of Bonds

1. Corporations often borrow money by issuing bonds.

  • A bond is a written promise to pay interest and principal
  • Similar to a notes payable

Bond

$1,000

10%

February 1, 2010

  • This bond matures on February 1, 2010.
  • Who holds this bond will receive $1,000 on the date.
  • The bondholder will also receive $100 ( 0.1 X $1,000) a year in interest.
    • Most bonds pay the interest twice a year
    • $50 every six months for this example.

2. The difference between notes payable and bonds.

  • Notes payable - the lender is usually a single creditor such as a bank
  • A bond is usually issued in denominations of $1,000, $2,000, etc
    • Sold to many different lenders
    • Investors can buy and sell these bonds on the financial markets before the bonds mature

3. Difference between stocks and bonds.

  • A share of stock represents ownership in a corporation.
    • For example, if a person owns 1,000 shares out of 10,000
    • He owns 10% of the corporation’s equity.
    • He also receives 10% of the corporation’s earnings, when dividends are declared.
  • A bond is a loan to a corporation.
    • A bond represents a debt or a liability to the corporation.
    • For example, a person owns a $1,000, 11%, 20 year bond issued by the corporation.
    • This person has two rights.
      1. The right to receive 11% or $110 interest each year the bond is outstanding.
      2. The right to be paid $1,000 when the bond matures in 20 years.

4. Why issue bonds instead of stock?

  • A corporation that needs long-term funds may consider issuing additional shares of stock or issuing bonds.
  • Issuing new stock brings in new stockholders.
    • Old stockholders lose part of control
    • Bondholders do not share in the management or earnings of the corporation.
    • However, the bond interest must be paid, whether or not there are any profits.
  • Bond interest payments are an expense
    • Expenses reduce net income, thus lower taxes burden.
    • U.S. corporations usually pay about 15 to 35% of their net income in taxes
  • Issuing bonds may increased earnings for the common stockholders.
    • See example below
    • A corporation has 200,000 shares of common stock outstanding and needs $1 million to expand its operations.
    • Management estimates that after the expansion, the company can earn $900,000 annually.;
  • Plan A: The corporation issues 100,000 new shares of the corporation’s stock at $10 per share.
  • Plan B: The corporation issues $1 million of 10% bonds
Plan A Plan B
Earnings before bond interest and income taxes $900,000 $900,000
Deduct interest expense   (100,000)
Income before corporation income taxes $900,000 $800,000
Deduct income taxes 25% rate) (225,000) (200,000)
Net income $675,000 $600,000
Plan A income per share (300,000 shares) $2.25
Plan B income per share (200,000 shares) $3.00
  • Looking at these two plans, plan B will result in a higher income per share.

 

Valuation of Bonds

1. Discount bond

  • Example to the right
    • Treasury bill for $10,000.
    • T-bill is short name
    • No interest rate listed on this instrument.
    • T-bill is sold at a discount (lower price)
  • For example, the U.S. federal government sold this T-bill to you for $9,500.
    • PV becomes the market price
  • On August 10, 2013, the federal government will give you $10,000 for this instrument.
  • The $500 difference is the interest on this loan.
  • The interest rate is 5.26% if it is a one year loan.
  • If the time less than or equal to a year, then you calculate the Yield to Maturity (YTM) :
Treasury Bill
U.S. Government

$10,000

August 10, 2013

Calculating the Yield to Maturity on a discount bond

Note - If this Treasury bill matured in 6 months, then you have to adjust the YTM by multiply it by 2. YTM is in annual terms.

Example 2:

  • You bought a $20,000 discount bond for $15,000
  • The bond matures in three years.
  • The maturity is greater than a year, so you have to use the present value
  • What is it's Yield to Maturity?

Calculating the YTM on a three-year discount bond

2. Coupon Bonds

  • Have coupons at the bottom of the certificate.
  • When it is time to receive an interest payment, the bondholder detaches one coupon and mails it to the corporation.
  • The corporation will send a check to the bondholder.
  • Example
    • U.S. Treasury note for $20,000.
    • T-note is the short name.
    • The $20,000 is called the face value.
    • T-note pays 10% interest.
    • Interest is paid every six months, the person who has this instrument will clip off one coupon and send it to the U.S. federal government for payment.
    • Interest payment is 0.1 x $20,000 x 0.5 = $1,000
    • When the T-note matures on August 10, 2010, the owner gets $20,000
Treasury Note
U.S. Government

$20,000


10%
August 10, 2010
 
 
 

3. Bond Types

  1. Registered bonds - Most bonds are registered, which means that the corporation has the names and addresses of all the bondholders. This offers some protection from loss or theft of the bonds.
  2. Bearer Bonds - Who ever holds the bonds will receive the interest payment. Coupon bonds tend to be bearer bonds.
  3. Debentures (i.e. unsecured) - The corporation does not pledge assets for the bond issues. These bonds depend on the credit standing of the corporations. A corporation has to be strong to issue this type of bonds.
    • Some corporations pledge the corporation's assets to the bondholders
  4. Convertible bonds – bondholder has right to exchange corporate bond into corporate stock on a specified date
  5. Municipal bonds - city and county governments issue bonds for local projects
    • Interest earnings are exempt from taxes
    • Bonds tend to pay lower interest rates

4. Bonds Sold at a Premium

  • A $1,000 bond.
    • The bond pays interest twice a year.
    • The interest on the bond is 8%, which is $80 a year or $40 every six months.
    • The bond matures in two years (4 periods)
    • The market interest rate is 4% a year, which is 2% for a payment period.
  • If the market interest rate is 4%, the corporation would not issue this bond at 8%. Why issue at a higher interest rate?
    • The corporation can sell this bond for a higher price, reflecting the market interest rate.
    • You have to use the Present Value Formula. The PV is the bond market price

Calculating the market value of a bond

5. Bonds Sold at a Discount

  • A $1,000 bond
    • The bond pays interest twice a year.
    • The interest on the bond is 8%, which is $80 a year or $40 every six months.
    • The bond matures in two years (4 periods)
  • The market interest rate is 12% a year, which is 6% for a payment period.
    • If the market interest rate is 12%, nobody would buy this bond at face value that earns 8% interest.
    • The corporation can sell this bond for a lower price, reflecting the market interest rate.
    • You have to use the Present Value Formula. The PV is the bond market price.

Calculating the market price of a bond

6. Consuls or Perpetuity

  • Government or corporation issues a bond
    • Bond never matures
    • No maturity date
    • Pays interest
  • Example
    • Government sold a consul that pays $50 interest per year
    • Bond never matures
    • Market interest rate is 8%
    • What is the market price, i.e. PV?

Calculating the market price of a perpetuity

This is an infinite sequence from mathematics.

Yield to Maturity and Rate of Return

1. Yield to Maturity (YTM)

  • Solve present value formula for the discount rate
    • Considered most accurate measure of the interest rates.
    • The yield to maturity allows the easy comparison of different bonds.
  • When paying a financial security, you know
    • The principal
    • The maturity date
    • Number of interest payments per year
    • The amount of interest payments.
  • You substitute all this information into the present value formula and solve for the interest rate, which is the yield to maturity. Then you can
    • Compare the yield to maturity to other loans
    • Select the security that gives the high yield.
  • Example
    • You want to buy a coupon bond today for $1,600.
    • The bond pays $400 interest per year.
    • The bond matures in three years.
    • The bond pays $1,000 on maturity date
    • What is the yield to maturity?

Calculating the yield to maturity on a bond

As you can see, this calculation is very complicated. You need a special program to solve these kind of problems.

From the yield to maturity, we have two important rules

  1. Market interest rate (yield to maturity) and market price (present value) of the securities are inversely related.
    • Example
    • Look at the consul formula, as interest rate increases, the market price decreases.
  2. The shorter the term to maturity of a bond, the less its price will fluctuate for a change in the market interest rate.

 

  • Example
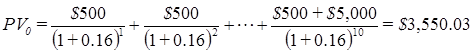
    • Two bonds have a face value of $5,000
    • Coupon interest rate of 10%
    • Interest is paid annually, which is $500
    • The first bond matures in one year and the other bond matures in 10 years.
    • If the market interest rate changes to 16%?
  • The calculations are listed below:

    Calculating the bond market price

    Calculating the bond market price

    • Change in interest rates has bigger impact on longer term to maturity bonds

    2. Capital Gains and Losses

    • Example
      • A bond has a face value of $2,000
      • Coupon interest rate of 5%.
      • A 10 year maturity
      • You bought this bond for $2,000 and resold it two years later for $2,400
      • You collected 2 years of interest, which is $100.
    • Rate of return is calculated below:

    Calculating the rate of return

    • A capital loss is similar.
      • You bought this security for $2,000 with a 5% coupon rate and held it for two years.
      • You earned two years of interest.
      • However, company reported financial problems and the price of your security drops to $1,000.
    • Your return on the investment is -23..3%, which is a loss . .

    Calculating a capital loss